投币寄物柜是这样使用的:
因此我们可以说,硬币是关闭寄物柜的密钥,而钥匙则是打开寄物柜的密钥。
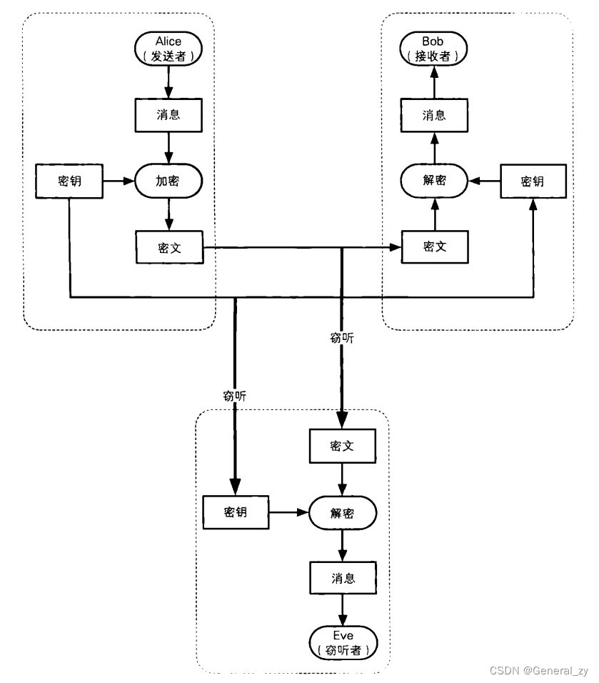
将邮件加密后发送到接收者,但密钥要如何告诉接收者呢?
如果密文和密钥都通过邮件发送,两者就都会被窃听者 Eve 窃听到。这样一来,同时得到密文和密钥的 Eve 就能够像Bob —样完成密文的解密并看到明文的内容了。也就是说,如果同时发送密钥,则 Eve 也能够完成解密。


公钥密码解决了密钥配送问题,但这并不意味着它能够解决所有的问题,因为我们需要判断所得到的公钥是否正确合法,这个问题被称为公钥认证问题。
为 “除法求余数的运算” 定义一个运算符,即mod
RSA 是一种公钥密码算法,它的名字是由它的三位开发者,即 RonRivest 、 Adi Shamir 和Leonard Adleman 的姓氏的首字母组成的( Rivest-Shamir-Adleman )。
仅仅对明文进行乘方运算并求 mod 即可,这就是整个加密的过程。
密文 = 明文的E次方 mod N ( RSA 加密 )
其中,E和W是 RSA 加密的密钥,也就是说,E和N的组合就是公钥。
E 和N 这两个数并不是密钥对( 公钥和私钥的密钥对 )。E和N两个数才组成了一个公钥,因此我们一般会写成 “公钥是(E,N)” 或者"公钥是{E,N}” 这样的形式。
数 D 和数 N 组合起来就是 RSA 的解密密钥,因此 D 和 N 的组合就是私钥。
明文 = 密文的D次方 mod N ( RSA 解密 )


由于 E 和 N是公钥,D 和 N 是私钥,因此求 E、D 和 N 这三个数就是生成密钥对。RSA 密钥对的生成步骤如下。
(1) 求 N
(2) 求 L 是仅在生成密钥对的过程中使用的数 )
(3) 求 E
(4) 求 D

要防御中间人攻击,还需要一种手段来确认所收到的公钥是否真的属于 Bob, 这种手段称为认证,在这种情况
下,我们可以使用公钥的证书。
上一篇:六年级第八单元身边的艺术:我的在古筝之梦 六年级第八单元身边的艺术:我的在古筝之梦
下一篇:最新或2023(历届)“那____的一幕”半命题作文导写与示例 最新或2023(历届)“那____的一幕”半命题作文导写与示例