
【引用】
药物化学是发现和发明新药、合成化学药物、阐明药物化学性质、研究药物分子与机体细胞(生物大分子)相互作用规律的综合性学科。 本学科以医学为研究对象,是化学与生命科学衔接和融合的交叉学科。 鉴于药物化学的综合性和交叉性较强,学生的学习门槛较高。 如果教学过程中不能激发学生的学习兴趣,学生很容易产生畏学、厌学的心理。 结构与生物活性的关系是药物化学研究的核心内容之一。 对药物分子结构的理解和掌握是本学科的基础和核心。 然而,药物化学教学往往涉及复杂药物的分子结构和空间构象。 由于抽象性高,这些知识点往往成为教学中的重点和难点。 传统的黑板加PPT教学方式缺乏学生的参与和互动,只能粗略地展示药物分子静态的二维结构,学生很难正确理解其三维结构特征。
随着计算机技术的快速发展,计算机辅助教学(CAI)在教育领域得到了广泛的应用,绘制药物分子结构和三维模型的软件也随之出现。 其中,美国Cambridge Soft公司开发的ChemOffice软件是目前最好的化学绘图软件之一。 它可以实现绘制二维结构、三维3D结构、流程图、实验装置、预测物理性质等多种功能。 但它对版权要求很高。 收费限制了其在学生中的使用,且只有PC版和Pad版,移动学习能力不够强。 移动学习是继远程学习和电子学习之后第三种革命性的学习方式。 它不受时间和空间的限制。 对于现在人均拥有手机的大学生来说,移动学习在小型化、便捷性方面具有很大的优势。 优点。
KingDraw是青岛清源精准农业科技研发的国内专业化学结构式编辑器。 它也是全球首款同时支持APP、PC、Pad多终端的化学结构式编辑器。 填补了ChemOffice软件APP端的空白,加速移动学习。 在药物化学领域很受欢迎。 KingDraw不仅支持AI图像识别、2D结构智能手势绘制、实时3D建模,还支持名称和结构式转换、子结构式搜索、化学性质分析、极速分享等多种强大功能,多端同步等,所有功能永久免费。 将 KingDraw 软件应用于药物化学课程。 色彩对APP的影响可以让学生在视觉上容易接受,激发学习兴趣。 教学现场的三维结构展示和参与互动,让学生对药物分子结构等内容有更深入的了解。 和掌握。 对于化学、制药等行业的工作者来说,KingDraw APP也满足了他们随时随地记录和绘制化学结构式的需求。 但作为2018年刚刚开发的化学绘图软件,KingDraw辅助药物化学学习的教学应用价值尚未被挖掘出来。 本文以药物化学中备受瞩目的抗菌药物氟苯尼考为例,阐述KingDraw在药物化学中的应用。
【介绍】
1 KingDraw画板简介
KingDraw APP(v3.1.1)画板分为上、下、左、右4个功能区(图1)。 上层功能区主要包括绘图常用功能; 下半部分是绘图选择区域,主要包括各种结构绘图元素,如化学键、环模板、电荷工具、流程图工具、括号工具等。图2显示了每个图标所代表的详细信息; 左侧元素选择区包含元素周期表中的所有元素,可以满足日常绘图需求; 右侧功能区 包含多种快捷操作工具。 中间的白色区域是编辑区域。 点击上述功能区域后,即可在编辑区域中绘制所需的化学结构式。

图1.KingDrawAPP画板功能区简介

图2.KingDraw绘图工具图标图
2 KingDraw在药物化学中的应用实例
2.1 绘制药物分子的二维结构式
氟苯尼考又名甲砜霉素,是化学合成的第三代兽用氯霉素类广谱抗菌药。 它是由甲砜霉素氟化而得,这是第一个在现代药物氯霉素的基础上用甲砜基取代硝基而得的。 传统的灌输式教学很难让学生形成药物化学结构的逻辑认知体系。 课堂上引导学生画出氯霉素、甲砜霉素、氟苯尼考等药物的结构式,提高课堂互动性和参与性。 对于学生理解三者之间的结构差异、加深知识记忆很有帮助。 KingDraw有三种绘制分子结构的方法: ① 使用绘图选区工具逐步绘制。 首先选择苯环模板,点击画板相应位置出现一个苯环,然后选择单键、双键、楔键等逐步画出其对应的结构。 ,再加入其他元素,最后即可得到氟苯尼考等药物的结构(图3)。 作为KingDraw APP的亮点之一,KingDraw APP还可以通过快捷手势实现氟苯尼考结构的高效绘制(图4)。 ②KingDraw的“化合物百科”模块包含1.5亿条化合物数据,支持详细的化合物信息查询,因此您只需在工作站的“化合物百科”模块中输入氟苯尼考(Florfenicol)的中文或英文名称,在弹出的窗口中即可查看氟苯尼考的中文或英文名称。向上化合物详细信息窗口 打开相应的结构式,氟苯尼考的结构就会出现在画板上。 ③KingDraw内置IUPAC命名规则,可以实现名称与结构式的相互转换。 直接点击上方功能区的“名称转换结构式”,在对话框中输入氟苯尼考的IUPAC名称,相应的名称和结构式就会出现在画板上。 优越的。

图3.KingDraw绘制了氯霉素(a)、甲砜霉素(b)和氟苯尼考(c)的二维结构式
图4.KingDraw快速手势绘图对比图
绘制完药物分子结构后,还可以在KingDraw中一键查看画板中结构的化学性质。 使用框架选择工具选择结构式,点击上方功能区的“查看属性”工具。 弹出的“化学性质”界面显示框内结构式的化学性质,包括化学式、精确分子质量、相对分子质量、元素分析结果和质谱图。 质荷比等(图5),勾选需要的属性后点击粘贴,其化学性质会列在结构下方。 对于常用的药物分子,还可以选择结构,点击右侧“化合物百科”快捷键,快速获取化合物的CAS号、IUPAC名称、标准化SMILES,以及根据结构自动计算的性质,如疏水性参数计算参考值。 (XLogP3)、氢键供体数量和其他计算属性。 药物的功效主要由药物的理化性质以及与药物受体的相互作用决定。 通过获取这些分子特性,学生可以更全面地了解药物特性和生物活性。

图5.KingDraw查看氟苯尼考的化学性质
2.2 显示药物分子的三维结构模型
药物化学教学中涉及的药物分子结构往往很复杂。 仅从二维平面结构很难理解原子的抽象三维空间排列。 相关知识点往往构成教学的重点和难点。 KingDraw可以快速将画板上的二维结构公式转换为3D模型,有助于快速、全面地了解分子的三维结构。 首先选择氟苯尼考结构,点击上方功能区的“更多”工具,然后选择【3D】按钮化学软件教程,弹出3D模型显示界面。 在APP的3D显示界面中,两指平行滑动可移动显示,两指捏合可放大或缩小,一指滑动可任意角度旋转结构。 通过向各个方向旋转,可以准确测定氟苯尼考的平面。 结构和非平面结构。 点击左上角相应按钮,可实现氟苯尼考填充模型、棒模型、球棒模型的自由变换(图6)。 这种三维结构模型的展示,使得抽象的分子结构直观生动,不仅让学生在APP上的实际操作中加深对知识的理解和记忆,而且参与式教学可以显着提高学生的学习兴趣。

图 6. 氟苯尼考分子堆积模型 (a)、棒棒模型 (b) 和球棒模型 (c)
氟苯尼考的结构含有2个手性碳原子,理论上有4种旋光异构体。 但在实际生产中,通过控制合成工艺可以得到两种异构体化学软件教程,即氟苯尼考的左旋体(1R,2S)和右旋体(1S,2R)。 其中,氟苯尼考的左旋构型具有抗菌活性,而右旋构型则无活性,对抗菌活性有一定的抑制作用。 对于手性立体化学基础知识薄弱的学生来说,由于立体构型较为抽象,理解和掌握氟苯尼考光学异构体存在一定困难。 通过使用KingDraw绘制二维结构,以3D方式显示,旋转结构使H原子远离学生,然后观察氟苯尼考其他基团的大小,可以帮助直观地确定三维构型两种异构体(图 7)。 让学生更深入地了解两者抗菌活性的差异。

图 7. 氟苯尼考左手体 (1 R, 2 S) (a) 和右手体 (1 S, 2 R) (b) 的球棒模型
2.3 绘制有机化学反应路线/机理图
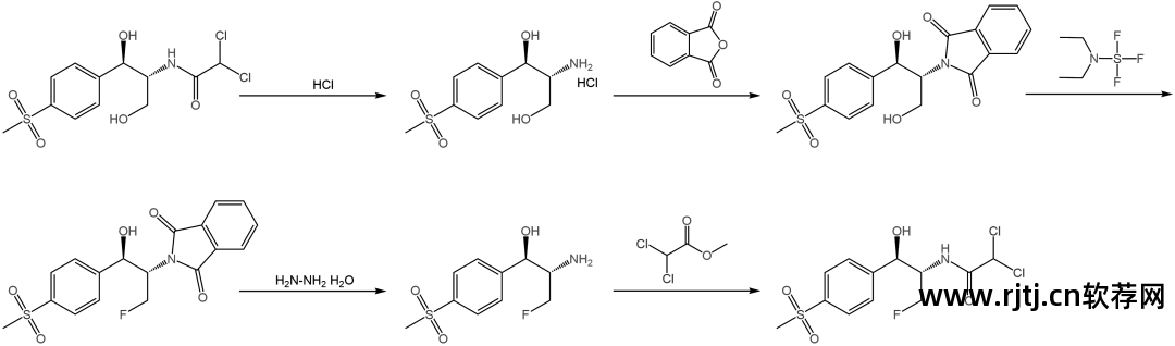
药物化学性质、作用机制、体内代谢、合成方法是药物化学教学的重要内容,都涉及复杂的化学反应路线或机理图。 如果在课堂上使用KingDraw软件介绍典型的化学反应路线/机理绘图内容,可以帮助学生高效掌握相关知识。 使用类似于绘制分子二维结构式的方法在KingDraw中绘制化学反应路线/机理图。 以氟苯尼考的其中一条合成路线为例,首先利用苯环、单双键等工具,将其逐步绘制在画板上。 对于甲砜霉素的结构,选择上方功能区的复制工具,将甲砜霉素结构复制粘贴到画板新位置,并修改亚氨基末端原子,得到盐酸水解产物D-(苏式)- 1-对甲基磺酸盐。 酰基苯基-2-氨基-1,3-丙二醇。 画出苯酐结构式,复制粘贴到画板上新位置,将端点拖到盐酸水解物的公共端点氨基处,两个端点会自动合并为一个端点,然后使用智能美化工具得到合并后的结构式。 用同样的方法画出其他反应物和产物结构,然后选择箭头工具画出需要的箭头符号,点击文字工具在箭头上方和下方输入相应的反应条件,调整字体大小,最后选择对齐在绘图板。 内容,点击对齐工具,美化化学反应公式。 如果使用对齐工具有困难,可以开启网格标尺线辅助对齐(图8)。

图8. KingDraw绘制了氟苯尼考的合成路线
2.4 其他功能应用
KingDrawAPP的特色之一就是其极快的分享功能。 点击上方功能区的分享工具,可以实现社交媒体之间的结构化分享(图9a),并且是以链接的形式进行分享,因此无需专业软件即可直接打开。 真正实现随时随地的复合结构通讯。 学生绘制出药物分子结构或反应路线后,可以利用该功能将文件分享给老师,老师可以及时得到教学效果的反馈。 在制作幻灯片或撰写论文的过程中,有时需要将绘图结果导入办公软件Office中。 KingDraw提供了两种不同的方法: 1)插入图片方法:KingDraw APP、PC和Pad都支持多种文件格式(图9b),选择另存为图片格式(png或jpg),然后直接在Office中插入图片,但用此方法插入的结构不能再次编辑。 2)复制粘贴方式:KingDraw支持APP、PC、Pad多端同步,所以APP端的文件上传到云端后可以在PC端打开,PC端支持与Office互联。 在PC端画板上选择需要复制的文件。 Nikau结构,直接在Office中复制粘贴,可以将结构式复制到Office中。 当您需要修改已导入Office的结构式时,只需在Office中双击该结构式,KingDraw中就会自动打开编辑界面。 修改完成后,Office中的结构式将同步修改,无需再次保存或复制粘贴。 实现结构式的快速高效编辑和使用。

图 9. (a) KingDraw 结构化共享; (b) 支持的文件保存格式
【结论】
在移动互联网快速发展的背景下,药物化学教学也应及时转变传统的PC甚至课堂教学模式,探索新的移动教学模式。 KingDraw是一款国内优秀的移动化学结构式编辑器,实现了APP、PC、Pad生态的一体化。 将KingDraw软件引入药物化学教学中,可以加速教学手段的现代化,适应当今教育的实际需要。 通过指导学生绘制药物结构式、反应路线/机理图,加深对传统单调、枯燥知识点的记忆和理解,提高相关写作和绘图能力,为今后撰写高质量论文奠定基础。 这种三维教学方式通过展示药物分子的三维结构模型,使教学内容更加形象直观,将复杂的抽象知识简单化、形象化,充分调动了学生的学习积极性,显着提高了药物化学教学质量。为培养高素质药物化学专业人才提供基础。 人才打下了良好的基础。
[原始来源]
吴伟林,段长飞,王占辉。 KingDraw软件在药物化学教学中的应用[J]. 广东化学工业, 2022, 49(15): 228-230.
指导老师:王占辉
Antibody Story分享了基于抗体的分析方法的研究进展。 欢迎投稿!
上一篇:
仿真化学实验室软件 福建省高中阶段学校考试招生制度改革实施意见的通知
下一篇:最新或2023(历届)淮安市小学入学年龄条件,淮安市小学入学年龄几岁 2023年淮安小学报名截止时间 淮安小学入学年龄最新规定