记得在虚拟环境下安装,这里推荐 Virtualenv
pip install scikit-learn
链接:Windows 10 - Python 的虚拟环境 Virtualenv - 全局 python 环境切换问题
在这里 scikit-learn框架的核心模块 —— sklearn,而不是 scikit
import sklearn
测试环境:(请注意这里是虚拟环境 Virtualenv)
操作系统: Window 10
工具:Pycharm
Python: 3.7
scikit-learn: 1.0.2
numpy: 1.21.6
scipy: 1.7.3
threadpoolctl: 3.1.0
joblib: 1.1.0
具体演示:
0|1 a b c
样本 A Aa Ab Ac
样本 B Ba Bb Bc
所谓的机器学习模型,本质上是一个函数,其作用是实现从一个样本 XXX 到样本的标记值 f(x)→xf(x) \rightarrow xf(x)→x 的映射
通俗概括:可以从数据中学习到的,可以实现特定功能(映射)的函数。
进一步专业性概括:模型是在指定的假设空间中,确定学习策略,通过优化算法去学习到的由输入 到输出的映射。
现实中,我们可以看到一些用塑料制造出来的人物、机器等模型,这就是相当于一个映射,从脑海里的想法 x 中,映射为塑料模型 y ,还有3D模型,也是同理,通过构建模型 y,映射出脑海里的 x ,但是机械学习的模型,也是一样的吗?
那是自然,通过已知的数据 x 映射出未知的数据 y, 来构建出一个预测模型,该模型是通过监督、非监督、强化等学习策略,以算法为工具,来构建一个模型。
实际理解:编程语言的函数f(x)f(x)f(x),输入矩阵XXX ,也就是样本 XXX,返回值是一个模型对样本的转换后的映射 YYY,YYY 是一个预测值。
机械学习共分为三种学习:
监督学习(
Supervised Learning)的任务是学习一个模型,使模型能够对任意给定的输入,对其相应的输出做出一个好的预测。
即:利用训练数据集学习一个模型,再用模型对测试样本集进行预测。通俗理解:每个数据点都被标记或关联一个类别或者分值。
例(类别):输入一张图片,判断该图片中的动物是猫还是狗;
例(分值):通过大量数据预测一辆二手车的出售价格;
监督学习的目的就是学习大量的样本(称作训练数据),从而对未来的数据点做出预测(称作测试数据)。
分类和回归,从根本上来说,分类是预测一个标签,回归是预测一个数量。
分类是给一个样本预测离散型类别标签的问题。
回归是给一个样本预测连续输出量的问题。
这段引用,笔者个人理解是,模型是具备输入值和输出值的,即 XXX 和 YYY ,当统计完这个模型内的一般规律,就可以用这个统计出来的一般规律,来预测其他的输入值 XXX 的可能性,即输出值 YYY,当然这一点,其实就很麻烦,现实世界可无法仅仅通过一个模型的规律,就能预测的了结果,所以只能说模型多多益善。
对于分类,笔者认为是点状预测,一个点一个点的预测出来,而不是像一条线那样;
回归则是线性预测,例如可以预测股票的线性变化,笔者个人大致是这样认为的。
监督学习,需要人去找模型去喂给它,还要多多观察该模型的准确性,也就是要监督并观察该算法的性能及准确度,就好比如有的小孩子需要我们大人去监督它们的学习,这样它们会在我们的监督下,认真学习,并提高成绩,这里指的是提升算法的性能和模型的准确度。
所以哪些需要模型的,都是监督学习。
非监督学习(
Unsupervised Learning)为直接对数据进行建模。没有给定事先标记过的训练范例,所用的数据没有属性或标签这一概念。事先不知道输入数据对应的输出结果是什么。自动对输入的资料进行分类或分群,以寻找数据的模型和规律。
例:聚类
非监督学习,孩子需要靠自己自学成才,不应该需要我们去监督它们学习,这样才能独立自主,由于现实生活中的变化,我们不太可能拥有全部的现实模型,在某种情况下,我们不太可能一直监督它们学习,所以需要它拥有自学的能力,通过自主收集现实的样本特征,自动的对自己进行变量输入,从而获取一个又一个的模型,然后对于模型进行一个性能或准确度的评估等等。
强化学习(
Reinforcement Learning)是机器学习中的一个领域,强调如何基于环境而行动,以取得最大化的预期利益。其灵感来源于心理学中的行为主义理论,即有机体如何在环境给予的奖励或惩罚的刺激下,逐步形成对刺激的预期,产生能获得最大利益的习惯性行为。
强化学习,孩子在学会了自主学习后,对它们进行一个激励的学习奖励措施,那么其会有可能形成一个应激性的行为,然后孩子就会容易去做某种对自己有利的事,比如设计一个撞墙的强化学习算法,那么对于撞墙就会执行一个闪避的有利选择,所以我们可以利用这一点,设计出一个符合该设想的机器学习算法,即强化学习。
有监督学习、无监督学习、强化学习具有不同的特点:
监督学习是有一个
label(标记)的,这个label告诉算法什么样的输入对应着什么样的输出,常见的算法是分类、回归等;
无监督学习则是没有label(标记),常见的算法是聚类;
强化学习强调如何基于环境而行动,以取得最大化的预期利益。
scikit-learn库主要功能分六大部分:分类,回归,聚类,降维,模型选择,数据预处理
分类、回归 ——> 监督学习
聚类 ——> 非监督学习
这里先不介绍采集数据,笔者还没涉猎。
在真实的世界中,经常需要处理大量的原始数据,这些原始数据是机器学习算法无法理解的,为了让机器学习算法理解原始数据,需要对数据进行预处理。
所谓的预处理,也叫规范化,其实就是提取复杂数据里的有价值的内容,这里用到了归一化或标准化:
通常而言,做机器学习时,你的数据量越大,维度越多,考虑的因素越多,你的分类、回归的预测就会越准确,但也因为是考虑的太多了,你的计算也就会越慢,所以在这里就会考虑要怎么权衡预测的准确度和计算速度。
在保证最大信息量的情况下,减少维度,降低计算的时间。
减少维度,可以更好的可视化,超过了三维,人就会难以理解,所以降维可以将数据更好的可视化,还有提升计算的效率(机器学习最根本的一点)
降维算法:
分类算法:
回归算法:
聚类算法:
数据规范化处理是数据挖掘的一项基础工作。不同评价指标往往具有不同的量纲,数值见的差别可能很大,不进行处理可能会影响到数据分析的结果。为了消除指标之间的量纲(不同的物理量)和取值范围差异的影响,需要进行标准化处理(对数据进行预处理),将数据按照比例进行缩放(归一化处理),使之落入一个特定的区域,便于进行综合分析。如将工资收入属性值映射到[−1,1][-1,1][−1,1]或者[0,1][0, 1][0,1]内 (这是归一化例子)
数据规范化对于基于距离的挖掘算法尤为重要。(这里的基于距离指的是变量输出值之间的距离)
规范化 指归一化 或 标准化
归一化和标准化都是对数据做变换的方式,将原始的一列数据转换到某个范围,或者某种形态,具体的:
归一化(Normalization):数据归一化用于需要对特征向量的值进行调整时,以保证每个特征向量的值都缩放到相同的数值范围,将一列数据变化到某个固定区间(范围)中,通常,这个区间是 [0,1][0, 1][0,1],广义的讲,可以是各种区间,比如映射到 [0,1][0,1][0,1]一样可以继续映射到其他范围,图像中可能会映射到 [0,255][0,255][0,255],其他情况可能映射到 [−1,1][-1,1][−1,1];
标准化(Standardization):将数据变换为均值为0,标准差为1的分布[0,1][0, 1][0,1],切记,并非一定是正态的;
中心化:另外,还有一种处理叫做中心化,也叫零均值处理,就是将每个原始数据减去这些数据的均值。(其实也就是上面的标准化)
有时候会看到标准归一化,其实也差不多,说是标准化,其实这个定义早就被归一化的概念给覆盖了,标准化归一化都可以这么叫,但是具体到它们的实现公式就得考虑清楚,名字随意,实现它们时,就得看看是怎么个处理方法。
一个是等比例缩放、一个是去均值中心化缩放。
scale n. 天平,磅秤;;刻度,标度;标尺,刻度尺;v 缩放
广义的说,标准化和归一化同为对数据的线性变化,所以我们没必要规定死,归一化难道就必须到[0,1][0,1][0,1]之间,我到 [0,1][0,1][0,1] 之间后,然后再乘一个255,你奈我何?所以切记不要被概念所束缚住,常见的有以下几种:
归一化的最通用模式Normalization,也称线性归一化、最小-最大规范化,也称为离散标准化,是对原始数据的线性变换,将数据值映射到 [0,1][0, 1][0,1] 之间
转换公式如下:
Xnew=Xi−XminXmax−XminX_{new}=\frac{X_{i}-X_{min}}{X_{max}-X_{min}}Xnew=Xmax−XminXi−Xmin ,范围 [0,1][0,1][0,1]
或
Xstd=X−X.min(axis=0)X.max(axis=0)−X.min(axis=0)X_{std}=\frac{X_{}-X_{.}min(axis=0)}{X_{.}max(axis=0)-X_{.}min(axis=0)}Xstd=X.max(axis=0)−X.min(axis=0)X−X.min(axis=0)
Xscaled=Xstd×(max−min)+minX_{scaled}=X_{std}\times(max-min)+minXscaled=Xstd×(max−min)+min ,范围 [0,1][0,1][0,1]
乍看一下很懵逼,解释一下:
[[4,2,3]
[1,5,6]]
X.min(axis=0)X.min(axis=0)X.min(axis=0):每列中的最小值组成的行向量,如上面的例子中应该是[1,2,3]
X.max(axis=0)X.max(axis=0)X.max(axis=0):每列中的最大值组成的行向量,如上面的例子中应该是[4,5,6]
maxmaxmax: 要映射到的区间最大值,默认是1 ,可以根据情况更改,不要被束缚住
minminmin:要映射到的区间最小值,默认是0 ,可以根据情况更改,不要被束缚住
XstdX_{std}Xstd : 占比结果
XscaledX_{scaled}Xscaled: 最终的归一化结果,映射到范围 [0,1][0,1][0,1]而已,借助XstdX_{std}Xstd 完成最后一步的 XscaledX_{scaled}Xscaled ,minminmin 为 0.
再用朴实的语言描述一下上面公式所做的事:
若要转换到 [−1,1][-1,1][−1,1] 之间,则
Xstd=X−XmeanXmax−XminX_{std}=\frac{X-X_{mean}}{X_{max}-X_{min}}Xstd=Xmax−XminX−Xmean
Xscaled=Xstd×(max−min)+minX_{scaled}=X_{std}\times(max-min)+minXscaled=Xstd×(max−min)+min ,范围 [−1,1][-1,1][−1,1]
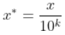
1, 1.2, 1.3, 1.4, 1.5, 1.6,8.4)这组数据。若将来遇到超过目前属性[min, max]取值范围的时候,会引起系统报错,需要重新确定 minminmin 和 maxmaxmax —— 将这组数据标准化(归一化),然后得到的一组规范化后各值接近于0的数据,假如以后加入新的数据,会有可能超过该数据标准化后的最大最小的范围,就需要重新确定 minminmin 和 maxmaxmax通过移动属性值的小数位数,将属性值映射到[-1, 1]之间,移动的小数位数取决于属性值绝对值的最大值。
转化公式为: 原始值 / 10^k

Xnew=X10kX_{new}=\frac{X}{10^k}Xnew=10kX
这里的 XXX 内的属性代指样本实例的某种属性,比如长度、宽度、数量等。
也就是说找的是矩阵内绝对值化后的最大的输入值元素x,并且使用恰当的对数函数方法 log10 ,以10为底,值为该绝对值化的最大值 max(x) ,即 log10max(X)=klog_{10} max(X) = klog10max(X)=k ,得到 k 值,还要注意的一点是 kkk 值必须是向上取整,这里提供一个方法是numpy模块的ceil(k)方法,向上取整方法,注意不是四舍五入,而是整个小数点后的值都被舍去了。完整公式:Xnew=ceil(log10max(abs(X)))X_{new} = ceil(log_{10} max(abs(X)))Xnew=ceil(log10max(abs(X))) ,abs()是绝对值函数
通常我们会把每个特征的平均值移除,以保证特征均值为0(即标准化处理)。这样做可以消除特征彼此之间的偏差(
bias)。
零-均值规范化也称标准差标准化,经过处理的数据的均值为0,标准差为1,是当前用得最多的数据标准化方式。
转化公式为: (原始值 - 均值)/ 标准差
Xnew=X−XmeanXstdX_{new}=\frac{X-X_{mean}}{X_{std}}Xnew=XstdX−Xmean
符号解释:
XnewX_{new}Xnew 为标准化后的值
XmeanX_{mean}Xmean 为 XXX 的均值
XstdX_{std}Xstd 为 XXX 的标准差
Z-score standardization表现更好。如何理解归一化(normalization)?
最大最小化标准化
标准化和归一化,请勿混为一谈,透彻理解数据变换
常用数据规范化方法: min-max规范化,零-均值规范化等
数据挖掘实验(一)数据规范化【最小-最大规范化、零-均值规范化、小数定标规范化】
【机器学习】数据归一化——MinMaxScaler理解
python中axis=0 axis=1的理解
参考链接:
6_Python机器学习库Scikit-Learn介绍
机械学习 - scikit-learn - 数据预处理 - 2