通信原理_3 随机过程分析
创始人
2024-04-12 04:38:52

三、随机过程分析

随机过程 X(t) 是从 {s1(t),s2(t)s_1(t), s_2(t)s1​(t),s2​(t)} 中随机抽取。

E[X(t)]=mX(t)E[X(t)]=m_X(t)E[X(t)]=mX​(t) 是随时间变换的函数。即在t1时刻,s1(t1)的值∗X(t)=s1(t)的概率+s2(t1)的值∗X(t)=s2(t)的概率s_1(t_1)的值*X(t)=s_1(t)的概率+s_2(t_1)的值*X(t)=s_2(t)的概率s1​(t1​)的值∗X(t)=s1​(t)的概率+s2​(t1​)的值∗X(t)=s2​(t)的概率.

对于任意随机过程𝑋(𝑡),令X~(t)=𝑋(t)−mX(t)\widetilde{X}(t) = 𝑋(t)−m_X(t)X(t)=X(t)−mX​(t)。则X~(t)\widetilde{X}(t)X(t)是一个均值为0的新随机过程。

时间平均:函数的平均高度。

统计平均:随机事物按随机抽取中出现的机会加权平均。

随机过程的相关函数

对于两个随机过程:X(t) Y(t),取两个时间点 t1,t2t_1, t_2t1​,t2​

image-20221020155126994 image-20221021140123427

image-20221021140350622

再对R求时间t的平均,就是平均自相关函数。

image-20221103143556264

如果乘积的数学期望可以拆成两个信号的各自数学期望的乘积,那么这两个随机信号不相关。

image-20221103155950728 image-20221021142403390 image-20221021142455658

宽平稳过程

E[X(t)]=mXE[X(t)]=m_XE[X(t)]=mX​ 与t没关系。

比如cos(t+θ),θ∈[0,2π]cos(t+\theta), \theta\in[0, 2\pi]cos(t+θ),θ∈[0,2π],这个求平均就是0~2pi上求积分再除以2pi,不管t等于什么cos都转了一圈,积分必为0.

广义遍历过程:

image-20221103161440705

遍历过程:对时间t做平均和对\theta做平均得到的mx和自相关函数R都一样。

因为随机过程的平均自相关函数是所有样本算数平均的自相关函数对t求平均,随机过程的平均功率谱密度是所有样本算数平均的功率谱密度对t求平均

而平稳过程的自相关函数和功率谱密度本来就和t没有关系,所以平均就是原来的。

随机过程的功率谱密度

之前我们知道,功率信号的功率谱密度是在一个周期内求频域的平方。

随机过程的多个信号我们假设都是功率信号,那么随机过程的功率谱密度就是这些信号的功率谱密度求平均。

image-20221021141044389

很巧的是,平均功率谱密度和对t求平均的平均自相关函数之间是傅里叶变换关系。

image-20221103150127702

联合平稳

x(t)和y(t)不光自己各自平稳,他俩的互相关函数也是平稳的,和t没关系。

回顾一下概率论中:两个事件不相关:E[XY]=E[X]E[Y]

两个事件独立:P(XY)=P(X)P(Y)

独立一定不相关,不相关不一定独立。

image-20221103163101110

两个随机过程不相关,同一个时刻一定不相关;但是反过来不一定.

image-20221103163357101

=0:不相关

=1: Y=KX, K>0

=-1: Y=KX, K<0

image-20221103163646205

ρ=0\rho=0ρ=0 也就是相关函数=0。

平稳过程通过线性系统

平稳过程x(t)通过h(t)系统,之前我们可知:

Y(t)=∫−∞+∞X(t−u)h(u)duY(t)=\int_{-\infty}^{+\infty}X(t-u)h(u)duY(t)=∫−∞+∞​X(t−u)h(u)du

然后对两边求均值,右边x(t)均值和t无关,所以y(t)均值也和t无关,也是平稳过程。

image-20221103164755961 image-20221103165117971 image-20221103165323696 image-20221103170137908

如果发生的是希尔伯特变换,自相关函数和功率谱密度是不会被改变的。

X^(t)和X(t)\hat{X}(t)和X(t)X^(t)和X(t)的相关函数是Rx(tau)的希尔伯特变换

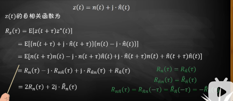
复随机过程

[外链图片转存失败,源站可能有防盗链机制,建议将图片保存下来直接上传(img-NcHbNGcd-1667563484571)(C:/Users/Lenovo/AppData/Roaming/Typora/typora-user-images/image-20221103210719192.png)]

自相关函数:RZ(t1,t2)=E[Z(t1)Z∗(t2)]R_Z(t_1,t_2)=E[Z(t_1)Z^*(t_2)]RZ​(t1​,t2​)=E[Z(t1​)Z∗(t2​)]

互相关函数:RZ1Z2(t1,t2)=E[Z1(t1)Z2∗(t2)]R_{Z_1Z_2}(t_1,t_2)=E[Z_1(t_1)Z_2^*(t_2)]RZ1​Z2​​(t1​,t2​)=E[Z1​(t1​)Z2∗​(t2​)]

image-20221103211555685 image-20221104003722412 image-20221104020236154 image-20221104110504605 image-20221104110849043

image-20221104111935844

image-20221104112001048

零均值带通复包络是零均值平稳过程

image-20221104132351445

X_L(t) 的实部虚部两个分量X_c X_s 都是零均值 联合平稳的。

image-20221104132936593

image-20221104133201354

image-20221104134131028

image-20221104135031811

随机序列

image-20221104135332198

image-20221104140132483

平稳序列:相关函数和n无关。

平稳联合序列:各自是平稳序列,互相关函数和n无关。

循环平稳序列:

image-20221104150643093

等式右边是周期函数,Ts为周期。

image-20221104151125473

高斯分布(重点!!)

image-20221104151222710

均值:a

方差:σ2\sigma^2σ2

Q函数:XXX~N(0,1)N(0,1)N(0,1) >x部分的概率,即∫x+∞12πe−t22dt\int_{x}^{+\infty}\frac{1}{\sqrt{2\pi}}e^{-\frac{t^2}{2}}dt∫x+∞​2π​1​e−2t2​dt

erfc:XXX~N(0,1/2)N(0,1/2)N(0,1/2) |X|>x 部分的概率,即∫x+∞1πe−t2dt+∫−∞x1πe−t2dt\int_{x}^{+\infty}\frac{1}{\sqrt{\pi}}e^{-t^2}dt+\int^{x}_{-\infty}\frac{1}{\sqrt{\pi}}e^{-t^2}dt∫x+∞​π​1​e−t2dt+∫−∞x​π​1​e−t2dt

应用:

image-20221104152333716

image-20221104152440414

高斯过程x(t)乘一个确定的信号m(t)也是高斯过程

image-20221104153847664

白高斯噪声

image-20221104154036798

image-20221104154153228

image-20221104162321564

image-20221104155632694 image-20221104160023848

image-20221104162635939

白高斯噪声与确定信号的内积

image-20221104163830780

ZZZ~N(0,N02Eg)N(0,\frac{N_0}{2}E_g)N(0,2N0​​Eg​)

image-20221104170623634 image-20221104170655371

若fai正交,则相关函数=0,说明他们互相独立。

image-20221104170848041 image-20221104171035071

窄带高斯噪声

image-20221104171228723 image-20221104171258445 image-20221104171525019 image-20221104171714494 image-20221104171827896 image-20221104172041074 image-20221104172255703

Z(t)的共轭相关函数RZZ∗(t)=0R_{ZZ^*}(t)=0RZZ∗​(t)=0

image-20221104173654927

image-20221104173814215

image-20221104173921058

image-20221104173955379

窄带高斯噪声的同相分量和正交分量

n_L(t)本身是一个复平稳过程,即nc ns 联合平稳。

image-20221104190915244

匹配滤波器

image-20221104191053497

image-20221104200009219

相关内容

热门资讯

德龙汇能:股价连续2日异常波动... 德龙汇能公告称,公司股票交易价格连续2个交易日(2026年1月13日、1月14日)收盘价格涨幅累计偏...
*ST张股:预计2025年度归... *ST张股1月14日公告,预计2025年度归属于上市公司股东的净利润亏损45,000万元-55,00...
客流暴涨20%!上海环球美食汇... 夜晚的上海,国际范儿藏在一道道美味佳肴中。正在火热举行的2026上海环球美食汇,让全球风味汇聚申城,...
广期所公告多晶硅期货PS270... 转自:新华财经新华财经北京1月14日电 广期所发布公告,经研究决定,现将多晶硅期货PS2701、碳酸...
中伟股份:1月15日起证券简称... 中伟股份1月14日公告,经董事会审议通过,公司将证券简称由“中伟股份”变更为“中伟新材”,公司名称、...