a)几何计算公式:

p、q为阶数,当p+q = 1时,几何矩为一阶矩,p+q = 2,几何矩为二阶矩,依次类推。。
因此,对于二值图像有:
所有前景像素的x坐标之和:
所有前景像素的y坐标之和:
所有前景像素的个数:
注:前景像素为像素值为对应类型的满像素值的像素。
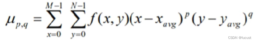
b)几何中心矩计算公式


Hu矩计算公式:

性质:Hu矩具有放缩不变性,旋转不变性。
利用下述7个值来进行轮廓匹配:

两个轮廓的参数计算公式(这里的即为上面的
值)。

两个轮廓的相似度计算公式:

在常规使用时,常预设一个阈值,将相似度值与阈值进行比较,设定相似度大于阈值的两个轮廓为同一轮廓。
步骤:
1、任选图像2中的一个轮廓,计算其Hu矩
2、对图像1所有轮廓计算Hu矩,将图像2的Hu矩与图像1的所有Hu进行比较
3、相似度阈值操作。
void QuickDemo::contour_get(Mat& image, vector>& contours)
{//高斯模糊Mat dst;GaussianBlur(image, dst, Size(3, 3), 0);Mat gray;cvtColor(dst, gray, COLOR_BGR2GRAY);Mat binary;threshold(gray, binary, 0, 255, THRESH_BINARY_INV | THRESH_OTSU);/*namedWindow("THRESH_OTSU", WINDOW_FREERATIO);imshow("THRESH_OTSU", binary);*///查找轮廓vector hierachy;findContours(binary, contours, hierachy, RETR_EXTERNAL, CHAIN_APPROX_SIMPLE, Point());cout << contours.size() << endl;
}
void QuickDemo::contour_match(Mat& image1, Mat&image2)
{vector> contours1;vector> contours2;contour_get(image1, contours1);contour_get(image2, contours2);/** 步骤:* 1、任选图像2中的一个轮廓,计算其Hu矩* 2、对图像1所有轮廓计算Hu矩,将图像2的Hu矩与图像1的所有Hu进行比较* 3、相似度阈值操作。*///Hu矩计算Moments mm2 = moments(contours2[0]);//先计算几何矩Mat hu2;HuMoments(mm2, hu2);for (size_t t = 0; t < contours1.size(); ++t) {Moments mm = moments(contours1[t]);//先计算几何矩Mat hu;HuMoments(mm, hu);double sim_value = matchShapes(hu, hu2, CONTOURS_MATCH_I1, 0);//在原图绘制相似轮廓if (sim_value < 1) {cout << "第" << t << "个轮廓的相似度值为:" << (float)(1 - sim_value) << endl;drawContours(image1, contours1, t, Scalar(0, 255, 0), 2, 8);drawContours(image2, contours2, 0, Scalar(0, 255, 0), 2, 8);}//获取图像1轮廓的中心位置double cx = mm.m10 / mm.m00;double cy = mm.m01 / mm.m00;circle(image1, Point(cx, cy), 2, Scalar(255, 0, 0), 2, 8);//在中心位置画圆}namedWindow("contours1", WINDOW_FREERATIO);imshow("contours1", image1);namedWindow("image2", WINDOW_FREERATIO);imshow("image2", image2);
}
结果:
